Home / Energie

Energie


Energia este o mărime fizică scalară asociată unui sistem care ne arată cât lucru mecanic poate realiza sistemul. Cu cât sistemul are energie mai mare, cu atât el poate realiza un lucru mecanic mai mare.

Una dintre concluziile teoriei relativităţii este aceea că există o legătură directă între energia unui sistem şi masa acelui sistem. Mai precis, ele sunt direct proporţionale. Deci, dacă înmagazinăm energie mai mare într-un recipient, atunci acesta devine mai masiv. Reciproc, dacă un recipient este foarte masiv, atunci el conţine foarte multă energie gata să fie expulzată.

Există două tipuri fundamentale de energie: energie cinetică şi energie potenţială. Energia cinetică depinde de variaţia modulului parametrilor fundamentali vectoriali ai sistemului, iar energia potenţială depinde de variaţia direcţiei acestor vectori. De exemplu, dacă variază numai modulul impulsului, atunci sistemul schimbă (primeşte sau pierde) numai energie cinetică cu sistemul cu care interacţionează, iar dacă variază numai direcţia impulsului, atunci sistemele „schimbă” numai energie potenţială.



Conform teoriei relativităţii, energia totală a unui corp care se deplasează pe o anumită curbă este independentă de forma traiectoriei pe care se deplasează corpul. Energia totală depinde numai de masa corpului, indiferent cum se mişcă acesta. Atunci, doar energia cinetică în particular şi, respectiv, energia potenţială depind de viteza de deplasare şi, respectiv, de forma curbei. Energia cinetică depinde numai de modulul vitezei. Înseamnă că energia care rămâne (adică energia potenţială) depinde de direcţia vitezei, adică de forma curbei.


Conform Fizicii elicoidale, orice corp are viteza luminii. Asta înseamnă că energia totală a oricărui corp este egală cu energia sa cinetică şi că energia potenţială este nulă. Atunci energia potenţială este doar o convenţie pe care o facem când vrem să considerăm că acel corp are totuşi o viteză mai mică decât viteza luminii şi că, implicit, are o oarecare masă de repaus nenulă.

-(1204190740) Această convenţie este echivalentă cu convenţia liniei drepte. Dacă stabilim că un corp se deplasează rectiliniu, stabilim implicit şi faptul că el are masă de repaus şi energie potenţială. Cea mai corectă...

-






[Tatonări]

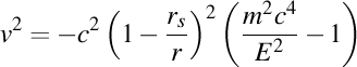
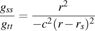
Se pare că în teoria relativităţii generalizate, energia totală este dată de

, unde m este masa de repaus.

În câmpul gravitaţional, care este conservativ, această energie trebuie să se conserve. Deci trebuie să se conserve şi expresia , deci şi expresia , deci şi expresia . De aici avem că . Cum şi , avem că

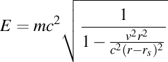
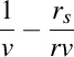
, aşadar . Extrăgând radicalul, obţinem că viteza este  .

Dacă , iar , atunci raportul lor este

, deci radicalul expresiei trebuie să fie constant, adică expresia

trebuie să fie şi ea constantă. Mai simplu, expresia trebuie să fie constantă mereu în câmpul gravitaţional. Mai simplu, viteza este ., unde constanta K este .

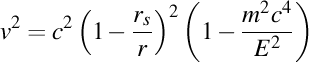
Din consideraţiile de mai sus, putem scrie energia totală ca fiind

sau încă .


.

[/Tatonări]







     RSS of this page

    Written by:   Version:   Edited By:   Modified

    Un contor din 31 martie 2010

    contoare                                        
    contoare